We love happiness at Buffer.
We’ve renamed customer support as customer happiness.
Happiness is baked into our culture and values and the DNA of every person who works on the team.
If there’s a smile to be had or a positive outlook to take, we’ll do our best to find it.
As such, we’re always keen to test out new ways to improve on this value of happiness at work, at play, and at home. We’ve tried science-backed ways to be happier, productive ways to be happier, and lessons from historians, writers, authors, and experts.
Might there even be some unexpected ways to be happy?
I pulled together some research about the many unexpected and counterintuitive ways to find happiness, and I’m happy to share with you what I found. These 10 insights cover a wide range of happy ideas, many of which might seem new and original.
1. Embrace opposing feelings, at the same time
Cheerful + Downcast = Happy
Acknowledging the complexity of life may be an especially fruitful path to psychological well-being
The above quote from psychologist Jonathan Adler of the Franklin W. Olin College of Engineering sums up the idea that happiness can come from noticing and embracing a wide spectrum of emotions—good and bad.
Adler and his colleague Hal Hershfield performed a study on this so-called mixed emotional experience and how it relates to positive, psychological well-being. They monitored participants who went through 12 weekly therapy sessions and who filled out questionnaires before each.
The results: Feeling cheerful and dejected at the same time was a precursor to improved well-being in the following sessions.
For example, someone might say, “I feel sad because of the recent losses in my life, yet I am also happy and encouraged to be working through them for a positive outcome.” According to Adler:
Taking the good and the bad together may detoxify the bad experiences, allowing you to make meaning out of them in a way that supports psychological well-being.
And Hershfield followed up with a another study about mixed emotions and health. After studying participants over a 10-year span, he and his team found a direct correlation with accepting one’s mix of emotions (e.g., “taking the good with the bad”) and good physical health.

We’ve enjoyed sharing among our team about mindful meditation and reflection. This process was even highlighted in a 2012 study by psychologist Shannon Sauer-Zavala of Boston University who found that mindfulness helped participants overcome anxiety disorders by accepting their wide-range of feelings and working toward improvement.
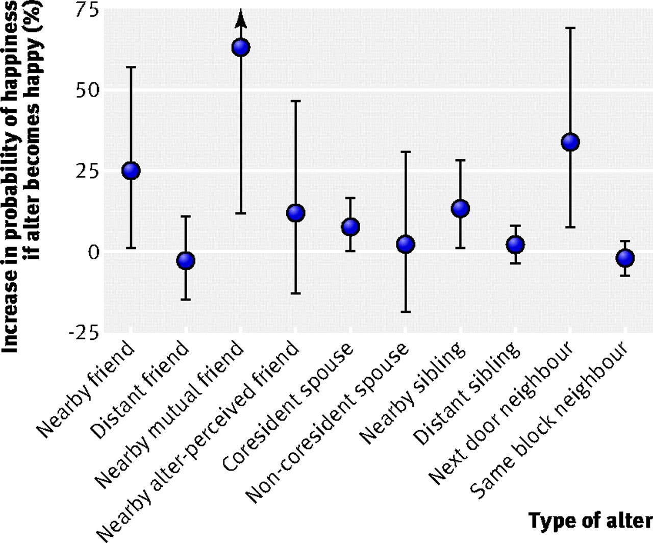
2. Keep your happy friends close, geographically
The sweet spot: a happy mutual friend, living a mile away
The town of Framingham, Massachusetts, was the focus of a multi-generational study on happiness, known as the Framingham Heart Study. Beginning in 1948, the study has tracked three generations of Framingham residents and their offspring to discover trends in the way that happiness moves among a population. A few of their takeaways:
- Individual happiness cascades through groups of people, like contagion.
- The more happy people you add to your life, the greater positive effect it will have on you. (This is not true of sadness.)
- Geographically close friends (and neighbors) have the greatest effect on happiness.
Below is the chart that summarizes this last point about geographic closeness. Basically, researchers broke down the happiness effect based on a participant’s relationship to others (the so-called “alters” in the chart) and their proximity to one another.

The breakdown:
- Nearby mutual friends (literally off the charts, the actual probability percentage is 148 percent)
- Next-door neighbor
- Nearby friend (a person whom the participant named as a friend but the “friend” did not reciprocate the label)
- Nearby alter-perceived friend (a person whom the participant did not name as a friend but who claimed to be friends with the participant)
- Nearby sibling
- Coresident spouse
- Distant sibling
- Non-coresident spouse
- Same block neighbor
- Distant friend
Proximity of nearby mutual friends, according to the study, included those who lived with one mile of each other. Others fall into the “distant friend” category.
Is it possible to have mutual friends that close by? I’d love to hear your experience. Personally, it reminds me of the happiness and fun of dorm life, big-city living, and vacationing with friends.
3. Learn something new, even if it’s stressful
Master a new skill—stress now, happiness later
If you are willing to push through a bit of added stress in the short-term, you can experience huge gains in happiness for the long-term.
Learn a new skill. Take on a bit more stress. And research says you’ll be happier on an hourly, daily, and long-term basis.
The gains from this investment in time and energy were documented in a 2009 study published in the Journal of Happiness Studies. Participants who spent time with activities that increased their competency, met their need for autonomy, or helped them connect with others reported decreased happiness in the moment yet increased happiness on an hourly and daily basis.
The key, according to the study, is to choose the right new skill to master, challenge to undertake, or opportunity to get out of your comfort zone.
The greatest increases are experienced (with) any behavior that a person feels they have chosen, rather than ought to do, and that helps them further their interests and goals
4. Invest in good counseling
Therapy is 32 times more effective than cash
Can money buy happiness?
Not according to research by psychologist Chris Boyce. At least, not as well as a regularly-scheduled counseling session.
Boyce and his colleagues compared the data sets from thousands of reports on well-being and noted how well-being changed either due to therapy or due to sudden increases in income, like receiving a pay raise or winning the lottery. Basically, do we get more happiness for our buck by paying for therapy or by receiving cash in hand?
The results were incredibly lopsided.
Therapy was 32 times more effective than cash.
It would take a $40,000 raise to equal the benefit from $1,300 worth of therapy.

This study certainly highlights the value of counseling, and it also points to the general benefit of intangible experiences, relationships, and communication over possessions, things, and money. If you’re seeking happiness, never be afraid to question if you’re looking in the right places.
5. Press pause on the breathless pursuit of happiness
Chase happiness at a safe speed
Here’s a cool story about cats.
One day this old alley cat crossed paths with a younger cat who was frantically running around, trying to catch its own tail. The older cat watched carefully for awhile. When the young cat stopped for a breather, the older cat asked, “Would you mind telling me what you are doing?”
The young cat said, “Sure thing! I went to Cat Philosophy School and learned that happiness is in our tails. So I am going to keep chasing my tail and someday I will catch it and get a big bite of happiness.”
The older cat responded, “Well, I have never been to Cat Philosophy School, but I agree: Happiness is in our tails. However, I have found that when I just wander around enjoying life, it follows me everywhere I go.”
This idea of not chasing happiness was highlighted in a 2011 study by Yale psychologist June Gruber and colleagues who found that pursuing happiness may lead to increased expectations that, if gone unmet, would actually have the opposite effect of happiness.
So instead of chasing happiness to the extremes, we may be better off pursuing happiness calmly and rationally. Trying new happiness experiments is a great way to go, so long as you keep expectations in check.
6. Say no to almost everything
Specifically, say “I don’t”
The difference between successful people and very successful people is that very successful people say “no” to almost everything. Warren Buffett
Overworked and overburdened is a recipe for unhappiness. So if you want to be happy, might be some quick wins by saying no!
So then, how should you say it?
Believe it or not, the phrase “I don’t” is up eight times more likely to work than saying “I can’t.” It’s more than doubly effective versus the simple “no.”
The Journal of Consumer Research ran a number of studies on this difference in terminology. One of the studies split participants into three groups:
Group 1 was told that anytime they felt tempted to lapse on their goals they should “just say no.” This group was the control group because they were given no specific strategy.
Group 2 was told that anytime they felt tempted to lapse on their goals, they should implement the “can’t” strategy. For example, “I can’t miss my workout today.”
Group 3 was told that anytime they felt tempted to lapse on their goals, they should implement the “don’t” strategy. For example, “I don’t miss workouts.”
And the results:
- Group 1 (the “just say no” group) had
who persisted with their goals for the entire 10 days.
- Group 2 (the “can’t” group) had
who persisted with her goal for the entire 10 days.
- Group 3 (the “don’t” group) had an incredible
who persisted with their goals for the entire 10 days.
Results from this study make a pretty great blueprint on how to say no. I’d love to hear how this works for you if you decide to add this to your happiness toolbox.
7. Celebrate strengths, recognize weakness
Allow yourself permission to be yourself
You’ve perhaps heard the old maxim, “You can be anything you want to be.” Strengths Finder author Tom Rath has an amendment:
You can be a lot more of who you already are. When we’re able to put most of our energy into developing our natural talents, extraordinary room for growth exists.Psychologist Paul Pearsall calls this “openture” (his coined phrase for the opposite of “closure”). Pearsall’s desire is that people embrace imperfections and celebrate strengths.
Research has shown that wedging ourselves into places we don’t fit can lead to undesirable results. As an extreme example, a study from Joanne Wood of the Univeristy of Waterloo asked people with low self-esteem to say to themselves “I’m a lovable person,” and at the conclusion of the exercise, participants felt reaffirmed in their low self-esteem rather than empowered to change.
If happiness seems elusive because you feel a need to be someone you aren’t, then the words of Tom Rath should be comforting. Celebrate what you’re good at and appreciate that we all bring unique characteristics to the table.
8. Prepare for the worst, hope for the best
The Samurai approach to happiness
Samurai warriors had two essential elements to performing their best: They trained extremely hard and they prepared for the worst.
The latter element, so-called “negative visualization,” has its roots in Stoicism. Oliver Burkeman wrote a book about counterintuitive happiness, including sections on this idea of Stoic thought. In an interview with writer Eric Barker, Burkeman explained:
It’s what the Stoics call, “the premeditation” — that there’s actually a lot of peace of mind to be gained in thinking carefully and in detail and consciously about how badly things could go. In most situations you’re going to discover that your anxiety or your fears about those situations were exaggerated.
Another benefit of this visualization is that you feel more in control when you have planned for all outcomes. Navy SEALs undergo psychological training so that they feel in control at all times. And according to neuroscience, the brain can continue to function as normal so long as we maintain the illusion of control (via training and visualization).
9. Give up your favorite things
Just for a day or two, not forever (phew!)
Here’s a gem of an idea from Eric Barker, author of the Barking Up the Wrong Tree blog:
Denying yourself something makes you appreciate the things you take for granted.
The scientific elements at play here are self-control and willpower. Researchers who conducted an overview of 83 studies on self-control concluded that willpower wanes as the day goes on, yet you can train willpower just as you would a muscle. Exerting self-control leads to more self-control over time.
Harvard professor Michael Norton has a great way of thinking about this:
The idea is that the things that you really like a lot, stop. Stop it. So, if you love, every day, having the same coffee, don’t have it for a few days and, when you wait, and then you have it again, it’s going to be way more amazing than all of the ones that you would have had in the meantime.
The problem with that is, on any given day, it’s better to have a coffee than not, but if you wait three days and don’t have it, it’s going to be way better once you finally do. Interrupting our consumption is free. It actually saves you money and gets you more happiness out of the money spent. It’s like the best of all worlds, but we’re completely unable to do it, because we always want to watch the thing or eat the thing right now. It’s not “give it up forever.” It’s “give it up for short periods of time, and I promise you you’re going to love it even more when you come back to it.”
Think daily coffee, Netflix binging, iPhone games, etc. Find more happiness by practicing patience with the things you love.
10. Keep your daydreams grounded
Expect great things rather than fantasizing about great things
Is there such a thing as a grounded daydream?
Hopefully so. A German research project found that students who fantasized about the future met below average results in their real-life futures. The following occurred with those who fantasized:
- Put in fewer job applications
- Received fewer job offers
- Earned lower salaries
- Were more likely to struggle academically
- Failed to ask their crush out on a date
Here’s the chart from the series of studies. The specific explanations can be found in the full report, but generally-speaking positive numbers are good and negative numbers are less so.

London School of Economics professor Heather Kappes says, “Wild fantasies dull the will to succeed.” This would appear to be true of the participants in the study.
So instead of wild daydreaming, perhaps it is better to remain grounded, hopeful, and eager to see happiness in one’s future. After all, once you get a vision and idea in mind, it’s difficult to extract it. Social psychologist Dan Wegner even came up with a psychological theory on the topic, dubbed the Ironic Processes of Mental Control:
in order to insure that you aren’t thinking about an unwanted idea, you have to continually turn your mind to that very idea. How do you know that you aren’t thinking of a white bear driving a red Ferrari unless you think about whether you’re thinking it?Maybe you can apply the same to happiness, albeit remaining firmly grounded while doing so.
Over to you
Which of these unexpected happiness hacks ring true to you?
Are there some you agree/disagree with?
I’d love to hear your thoughts here in the comments! We’re always eager to find out what works for you and to learn new experiences in living happily.
Image credits: Death to the Stock Photo, BMJ, PMC
Try Buffer for free
200,000+ creators, small businesses, and marketers use Buffer to grow their audiences every month.




